Smooth Route Parameterization and Evolutionary Optimization for Efficient Maritime Routing

Environmental Monitoring: An Exploratory Workshop

IE University, School of Science & Technology

2023-07-06

Motivation

  • Previous talks today
  • Up to 15% improvements vs. just following the geodesic route (depending on the vessel speed)
  • Challenges:
    • Avoiding land
    • Incorporating multiple factors
      • Wind
      • Waves
      • Currents
    • Factors change dynamically
      • Forecasts have uncertainty

Proposed Method

  • Top-down route exploration
  • Generate full route, score it, optimize it
    • We parameterize routes as Bézier curves, discretized on a few points
    • We optimize them using an evolutionary algorithm

Bézier Curves

  • Control points \(\pmb{c}_0, \dots, \pmb{c}_K \in \mathbb{R}^2\)
    • \(\pmb{c}_0\) is the source
    • \(\pmb{c}_K\) is the destination
    • We leave \(\pmb{c}_1, \dots, \pmb{c}_{K-1}\) free
  • General formula: \(f(t) = (x(t), y(t)) = \sum_{k=0}^K \binom{K}{k} (1-t)^{K-k} t^k \pmb{c}_k\)
  • Yields smooth curves, very expressive with few degrees of freedom

Computation

  • We use De Casteljau’s recurrence (Boehm and Müller 1999): \(f(t) = \pmb{c}_0^{(n)}\), where \[\pmb{c}_k^{(i)} := \begin{cases}\pmb{c}_k^{(i-1)}(1-t) + \pmb{c}_{k+1}^{(i-1)} t\\ \pmb{c}_k^{(0)} := \pmb{c}_k\end{cases}\]
    • Numerically stable

Optimizer: CMA-ES

  • Covariance Matrix Adaptation Evolution Strategy (Hansen, Müller, and Koumoutsakos 2003)
  • Evolutionary version of gradient descent
    • Multiple candidate solutions at each step (the population)
    • Candidates are added Gaussian noise to help exploration (mutation)
    • Derivative-free
  • We start with some initial solution \(f_0\) and noise \(\mathcal{N}(f_0, \Sigma_0)\)
  • The distribution locally imitates the shape of the score function
  • At each generation, we evaluate all population individuals at once
    • Good for parallelization
    • We compute everything in batched form
    • We can evaluate 1’000+ routes per second
  • Software: Python cma package

Example

Trick 1: Land Avoidance

  • Sometimes, the proposed path runs on land
  • We heavily penalize any distance that is traversed on land
  • But: will not always work if there’s a local minimum
    • Example: hourglass-shaped land
  • We have some ideas on how to solve that

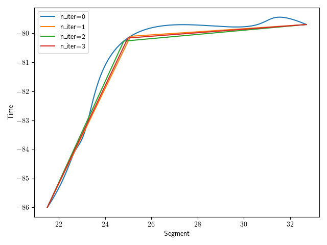
Trick 2: Reparameterization

  • A Bézier path does not have constant speed (blue line)
  • For better visualization, we reparameterize the final path into equal-time segments
  • Iterative process, converges fast:

Real-world Results

Setup

  • Currents and land:
    • Rectangular, evenly spaced grid with \(4320 \times 2041\) cells (latitude \(\times\) longitude)
    • Static for now (but dynamic is supported)
    • Queried using linear interpolation (fast)
  • We pick \(K: = 10\) Bézier control points (8 free, 2 fixed) \(\Rightarrow\) 16 d.o.f.
  • CMA-ES population size
    • 500 at first (exploration phase)
    • Then 100 to further refine (exploitation phase)
  • We stop at 30’000 total function evaluations
  • Bézier path resolution: 200 points (199 segments)
  • Initial solution \(f_0\): straight line from \(A\) to \(B\)
  • We take initial noise strength \(\Sigma_0 := \textrm{diag}(\textrm{std}(f_0) / 5)\)

Cancun \(\rightarrow\) Charleston (\(s = 3\))

  • Navigation time: 116h
    • 7.35% better than geodesic route

Charleston \(\rightarrow\) Azores (\(s = 3\))

  • Navigation time: 365h
    • 16.8% better than geodesic route

Panama \(\rightarrow\) Houston (\(s = 3\))

  • Navigation time: 221h
    • 9% better than geodesic route

Somalia \(\rightarrow\) Myanmar (\(s = 3\))

  • Navigation time: 527h
    • 4.5% better than geodesic route

Expressiveness of Bézier Curves

  • Very different control points can yield almost equal curves
  • We think this makes it easier to find a global optimum

Expressiveness of Bézier Curves

  • Very different control points can yield almost equal curves
  • We think this makes it easier to find a global optimum

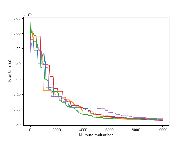
Convergence

Convergence for Different Seeds

Charleston \(\rightarrow\) Azores, \(s = 3\)

Convergence for Different Seeds

Cancun \(\rightarrow\) Charleston, \(s = 3\)

Land is Tricky

Vessel Speed

Different Speeds (Charleston \(\rightarrow\) Azores, \(s = 3\))

Different Speeds (Charleston \(\rightarrow\) Azores, \(s = 10\))

Different Speeds (Charleston \(\rightarrow\) Azores, \(s = 30\))

Ground Speed (Charleston \(\rightarrow\) Azores, \(s = 3\))

Ground Speed (Charleston \(\rightarrow\) Azores, \(s = 10\))

Summary

Advantages

  • CMA-ES offers good balance of exploration and exploitation
  • Can find a reasonable solution \(\sim\) quickly
    • Once it finds a basin, it converges fast to its local minimum
  • Good at open spaces in the sea

Limitations

  • The method struggles with complicated maps (dense archipelagos, rivers)
    • A \(K\)-degree curve cannot do more than \(K-1\) turns
  • Given a route, it is hard to find control points that (approximately) generate it

Takeaways

  • “Top-down” route exploration method
  • Full candidates are generated at once, then rated
  • Black-box style \(\Rightarrow\) only a cost function is needed
  • Parallelizable and stochastic approach

Future Work

  • Better land avoidance
  • Optional: add CMA-ES constraints (Arnold and Hansen 2012)
    • Example: “we want to reach the destination during a weekday, not weekend”
  • Benchmark other parameterizations
    • Piecewise spline, piecewise Bézier, etc.
    • Useful for e.g. enforcing waypoints in the route
  • Incorporate forecast uncertainty

Thank You For Listening

Arnold, Dirk V., and Nikolaus Hansen. 2012. “A (1+1)-CMA-ES for Constrained Optimisation.” In Proceedings of the 14th Annual Conference on Genetic and Evolutionary Computation, 297–304. GECCO ’12. New York, NY, USA: Association for Computing Machinery. https://doi.org/10.1145/2330163.2330207.
Boehm, Wolfgang, and Andreas Müller. 1999. “On de Casteljau’s Algorithm.” Computer Aided Geometric Design 16 (7): 587–605. https://doi.org/https://doi.org/10.1016/S0167-8396(99)00023-0.
Hansen, Nikolaus, Sibylle D. Müller, and Petros Koumoutsakos. 2003. “Reducing the Time Complexity of the Derandomized Evolution Strategy with Covariance Matrix Adaptation (CMA-ES).” Evolutionary Computation 11 (1): 1–18.


IE University is Hiring!

  • Tenure-track positions in Computer Science and Data Science

https://apply.interfolio.com/107871

Backup Slides

Example Reparameterization into 3 Points

CMA-ES Covariance Adaptation